首页 > 编程语言 > 浅谈ROC曲线的最佳阈值如何选取
2020
09-23

浅谈ROC曲线的最佳阈值如何选取

为了获取ROC曲线的最佳阈值,需要使用一个指标--约登指数,也称正确指数。

借助于matlab的roc函数可以得出计算。

% 1-specificity = fpr
% Sensitivity = tpr;
[tpr,fpr,thresholds] =roc(Tar',Val');
RightIndex=(tpr+(1-fpr)-1);
[~,index]=max(RightIndex);
%
RightIndexVal=RightIndex(index(1));
tpr_val=tpr(index(1));
fpr_val=fpr(index(1));
thresholds_val=thresholds(index(1));
disp(['平均准确率: ',num2str((RightIndexVal+1)*0.5)]);
disp(['最佳正确率: ',num2str(tpr_val)])
disp(['最佳错误率: ',num2str(fpr_val)])

至此计算结束了。

补充拓展:利用阈值分割目标图像

一.全局阈值

方法一:OTSU方法

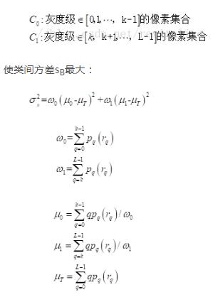
otsu法(最大类间方差法,有时也称之为大津算法)使用的是聚类的思想,把图像的灰度数按灰度级分成2个部分,使得两个部分之间的灰度值差异最大,每个部分之间的灰度差异最小,通过方差的计算来寻找一个合适的灰度级别来划分。 所以可以在二值化的时候采用otsu算法来自动选取阈值进行二值化。otsu算法被认为是图像分割中阈值选取的最佳算法,计算简单,不受图像亮度和对比度的影响。因此,使类间方差最大的分割意味着错分概率最小。

选择阈值k,把像素分为两类:

T=graythresh(f)即可实现用方法一计算归一化的阈值。

二.局域阈值

当背景照度不均匀时,全局阈值方法可能失效,此时,用局域变化的阈值函数T(x,y)分割图像f(x,y):

matlab实现程序:

clear all;close all;clc;
I=imread('C:\Users\ASUS\Desktop\图像处理学习文件\大二下\使用阈值分割目标_15\Fig0926(a)(rice).tif');
figure
imshow(I)
title('original image')
k=graythresh(I);
I1=im2bw(I,k);
figure
imshow(I1)
se=strel('disk',10); %产生半径为10的圆盘形结构元素
fo=imopen(I1,se);  %用结构元素对灰度图像进行开运算
figure
imshow(fo)
title('Opened image')
f2=imtophat(I,se); %用原图像减去开运算图像,即对图像进行顶帽运算
figure
imshow(f2,[])  %显示顶帽运算结果
title('Top-hat transformation')
f2=im2double(f2);
T=graythresh(f2);
bw2=im2bw(f2,T); %对顶帽处理后的图像进行阈值处理
figure
imshow(bw2,[])
title('Thresholded top-hat image') %显示阈值处理后的顶帽图像

以上这篇浅谈ROC曲线的最佳阈值如何选取就是小编分享给大家的全部内容了,希望能给大家一个参考,也希望大家多多支持自学编程网。

编程技巧