Python中支持Convex Optimization(凸规划)的模块为CVXOPT,其安装方式为:
pip install cvxopt
一、数学基础
二次型
二次型(quadratic form):n个变量的二次多项式称为二次型,即在一个多项式中,未知数的个数为任意多个,但每一项的次数都为2的多项式。其基本形式如下

亦可写作,
,称作二次型的矩阵表示,其中A是对称矩阵。仿照如下的定义,我们可以直接在其基本形式和矩阵表示之间相互转化。

2.正定矩阵
设A是n阶实对称矩阵, 如果对任意一非零实向量X,都使二次型
成立,则称f(X)为正定二次型,矩阵A称为正定矩阵(Positive Definite),A为正定矩阵。
相应的,如果对任意一非零实向量X,都使二次型
成立,则称f(X)为半正定二次型,A为半正定矩阵。
3.二次规划问题
二次规划是指,带有二次型目标函数和约束条件的最优化问题。其标准形式如下:

即在Gx<h 和Ax=b的约束下,最小化目标函数。其中,当P是正定矩阵时,目标函数存在全局唯一最优解;P是半正定矩阵时,目标函数是凸函数,存在全局最优解(不唯一);P是不定矩阵时,目标函数非凸,存在多个局部最小值和稳定点,为np难问题。(本篇博客中我们不考虑非正定情况)。
二、python程序求解
工具包:Cvxopt python 凸优化包
函数原型:Cvxopt.solvers.qp(P,q,G,h,A,b)
P,q,G,h,A,b的含义参见上面的二次规划问题标准形式。
编程求解思路:
1.对于一个给定的二次规划问题,先转换为标准形式(参见数学基础中所讲的二次型二中形式转换)
2.对照标准形势,构建出矩阵P,q,G,h,A,b
3.调用result=Cvxopt.solvers.qp(P,q,G,h,A,b)求解
4.print(result)查看结果,其中result是一个字典,我们可直接获得其某个属性,e.g. print(result['x'])
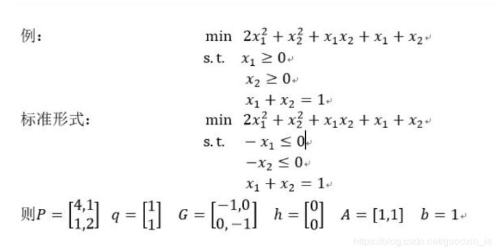
下面我们来看一个例子

import pprint
from cvxopt import matrix, solvers
P = matrix([[4.0,1.0],[1.0,2.0]])
q = matrix([1.0,1.0])
G = matrix([[-1.0,0.0],[0.0,-1.0]])
h = matrix([0.0,0.0])
A = matrix([1.0,1.0],(1,2))#原型为cvxopt.matrix(array,dims),等价于A = matrix([[1.0],[1.0]])
b = matrix([1.0])
result = solvers.qp(P,q,G,h,A,b)
print('x\n',result['x'])
运行结果:

注意事项:
cvxopt.matrix与numpy.matrix的排列顺序不同,其中cvxopt.matrix是列优先,numpy.matrix是行优先。具体可见下面实例
import numpy as np
from cvxopt import matrix
a = np.matrix([[1,2],[3,4]])
b = matrix([[1,2],[3,4]])
print('numpy.matrix',a)
print('cvxopt.matrix',b)
运行结果:

以上这篇使用python求解二次规划的问题就是小编分享给大家的全部内容了,希望能给大家一个参考,也希望大家多多支持自学编程网。

- 本文固定链接: https://www.zxbcw.cn/post/181637/
- 转载请注明:必须在正文中标注并保留原文链接
- QQ群: PHP高手阵营官方总群(344148542)
- QQ群: Yii2.0开发(304864863)