HSL 和 HSV 在数学上定义为在 RGB 空间中的颜色的 R, G 和 B 的坐标的变换。
从 RGB 到 HSL 或 HSV 的转换
设 (r, g, b) 分别是一个颜色的红、绿和蓝坐标,它们的值是在 0 到 1 之间的实数。设 max 等价于 r, g 和 b 中的最大者。设 min 等于这些值中的最小者。要找到在 HSL 空间中的 (h, s, l) 值,这里的 h ∈ [0, 360)是角度的色相角,而 s, l ∈ [0,1] 是饱和度和亮度,计算为:

h 的值通常规范化到位于 0 到 360°之间。而 h = 0 用于 max = min 的(就是灰色)时候而不是留下 h 未定义。
HSL 和 HSV 有同样的色相定义,但是其他分量不同。HSV 颜色的 s 和 v 的值定义如下:

从 HSL 到 RGB 的转换
给定 HSL 空间中的 (h, s, l) 值定义的一个颜色,带有 h 在指示色相角度的值域 [0, 360)中,分别表示饱和度和亮度的s 和 l 在值域 [0, 1] 中,相应在 RGB 空间中的 (r, g, b) 三原色,带有分别对应于红色、绿色和蓝色的 r, g 和 b 也在值域 [0, 1] 中,它们可计算为:
首先,如果 s = 0,则结果的颜色是非彩色的、或灰色的。在这个特殊情况,r, g 和 b 都等于 l。注意 h 的值在这种情况下是未定义的。
当 s ≠ 0 的时候,可以使用下列过程:

对于每个颜色向量 Color = (ColorR, ColorG, ColorB) = (r, g, b),

从 HSV 到 RGB 的转换
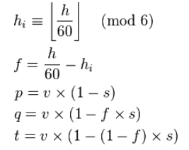
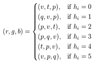
类似的,给定在 HSV 中 (h, s, v) 值定义的一个颜色,带有如上的 h,和分别表示饱和度和明度的 s 和 v 变化于 0 到 1 之间,在 RGB 空间中对应的 (r, g, b) 三原色可以计算为:

对于每个颜色向量 (r, g, b),

<html>
<style>
.childDiv {
display:inline-block;
vertical-align:middle;
margin-left: 30px;
margin-top: 10px;
margin-bottom: 10px;
}
#colorPickDiv {
background-color: WhiteSmoke;
border: 1px solid LightGrey;
padding-top: 20px;
padding-bottom: 20px;
padding-right: 30px;
}
#hueTipDiv {
margin: 0 0 10px 70px;
}
#luminanceTipDiv {
margin-top: 20px
}
#colorDiv {
width: 100px;
height: 100px;
background-color: black;
}
#valueDiv {
box-shadow: 0px -5px 10px LightGrey;
background-color: WhiteSmoke;
border: 1px solid LightGrey;
border-top-width: 0;
padding-right: 10px;
padding-bottom: 10px;
}
</style>
<body>
<div>
<div id="colorPickDiv">
<div class="childDiv">
<div id="hueTipDiv">Hue:0</div>
<canvas id="canvas" width="200" height="200">Your browser does not support canvas</canvas>
</div>
<div class="childDiv">
<div id="saturationTipDiv" class="divMarginBottom">Saturation:0%</div>
<input id="saturationRange" onChange="onHSLRangeChange()" type="range" min="0" max="100" step="1" value="100"/>
<div id="luminanceTipDiv" class="divMarginBottom">Luminance:0%</div>
<input id="luminanceRange" onChange="onHSLRangeChange()" type="range" min="0" max="100" step="1" value="50"/>
</div>
<div id="colorDiv" class="childDiv"></div>
</div>
<div id="valueDiv">
<div class="childDiv">
<div id="hexadecimalTipDiv" class="divMarginBottom">Hexadecimal:</div>
<input id="hexadecimalValueDiv" type="text" disabled="disabled"/>
</div>
<div class="childDiv">
<div id="rgbTipDiv" class="divMarginBottom">RGB:</div>
<input id="rgbValueDiv" type="text" readonly="readonly"/>
</div>
<div class="childDiv">
<div id="hslTipDiv" class="divMarginBottom">HSL:</div>
<input id="hslValueDiv" type="text" readonly="readonly"/>
</div>
</div>
</div>
<script>
var c = document.getElementById("canvas");
var ctx = c.getContext("2d");
var colorDiv = document.getElementById("colorDiv");
var hexadecimalValueDiv = document.getElementById("hexadecimalValueDiv");
var rgbValueDiv = document.getElementById("rgbValueDiv");
var hslValueDiv = document.getElementById("hslValueDiv");
var hexadecimalTipDiv = document.getElementById("hexadecimalTipDiv");
var saturationTipDiv = document.getElementById("saturationTipDiv");
var saturationRange = document.getElementById("saturationRange");
var luminanceTipDiv = document.getElementById("luminanceTipDiv");
var luminanceRange = document.getElementById("luminanceRange");
//十字光标颜色
var crossCursorColor = "black";
//十字光标线宽
var crossCursorLineWidth = 2;
//十字光标某一边线段长
var crossCursorHalfLineLen = 5;
//十字光标中间断裂处长度
var crossCursorHalfBreakLineLen = 2;
//画布中心点X坐标
var centerX = c.width / 2;
//画布中心点Y坐标
var centerY = c.height / 2;
//缩放绘制比例
var scaleRate = 10;
//画布的内切圆半径(之所以减去一个数是为了可以显示完整的十字光标)
var innerRadius = Math.min(centerX, centerY) - crossCursorHalfLineLen - crossCursorHalfBreakLineLen;
//内切圆半径的平方
var pow2InnerRadius = Math.pow(innerRadius, 2);
//缩放绘制时的绘制半径,即画布的外径除以缩放比例
var scaledRadius = Math.sqrt(Math.pow(c.width / 2, 2) + Math.pow(c.height / 2, 2)) / scaleRate;
//由于该圆是由绕圆心的多条线段组成,该值表示将圆分割的份数
var count = 360;
//一整个圆的弧度值
var doublePI = Math.PI * 2;
//由于圆心处是多条线段的交汇点,Composite是source-over模式,所以后绘制的线段会覆盖前一个线段。另外由于采用线段模拟圆,英雌
var deprecatedRadius = innerRadius * 0.3;
//废弃圆半径的平方
var pow2DeprecatedRadius = Math.pow(deprecatedRadius, 2);
//色相(0-360)
var hue;
//饱和度(0%-100%)
var saturation;
//亮度luminance或明度lightness(0%-100%)
var luminance;
//当前色相位置X坐标
var currentHuePosX = centerX + innerRadius - 1;
//当前色相位置Y坐标
var currentHuePosY = centerY;
//填充圆
function fillCircle(cx, cy, r, color) {
ctx.fillStyle = color;
ctx.beginPath();
ctx.arc(cx, cy, r, 0, doublePI);
ctx.fill();
}
//绘制线条
function strokeLine(x1, y1, x2, y2) {
ctx.beginPath();
ctx.moveTo(x1, y1);
ctx.lineTo(x2, y2);
ctx.stroke();
}
//将整数转为16进制,至少保留2位
function toHexString(intValue) {
var str = intValue.toString(16);
if(str.length == 1) {
str = "0" + str;
}
return str;
}
//判断坐标(x,y)是否在合法的区域内
function isInValidRange(x, y) {
var pow2Distance = Math.pow(x-centerX, 2) + Math.pow(y-centerY, 2);
return pow2Distance >= pow2DeprecatedRadius && pow2Distance <= pow2InnerRadius;
}
//绘制十字光标
function strokeCrossCursor(x, y) {
ctx.globalCompositeOperation = "source-over";
ctx.strokeColor = crossCursorColor;
ctx.lineWidth = crossCursorLineWidth;
strokeLine(x, y-crossCursorHalfBreakLineLen, x, y-crossCursorHalfBreakLineLen-crossCursorHalfLineLen);
strokeLine(x, y+crossCursorHalfBreakLineLen, x, y+crossCursorHalfBreakLineLen+crossCursorHalfLineLen);
strokeLine(x-crossCursorHalfBreakLineLen, y, x-crossCursorHalfBreakLineLen-crossCursorHalfLineLen, y);
strokeLine(x+crossCursorHalfBreakLineLen, y, x+crossCursorHalfBreakLineLen+crossCursorHalfLineLen, y);
}
//将对象中的hsl分量组成一个hsl颜色(h在0到360之间,s与l均在0到1之间)
function formHslColor(obj) {
return "hsl(" + obj.h + "," + Math.round(obj.s * 1000)/10 + "%," + Math.round(obj.l * 1000)/10 + "%)";
}
//将对象中的rgb分量组成一个rgb颜色(r,g,b在0到255之间)
function formRgbColor(obj) {
return "rgb(" + [obj.r, obj.g, obj.b].join(",") + ")";
}
//从画布的某点获取存储RGB的对象
function getRgbObj(x, y) {
var w = 1;
var h = 1;
var imgData = ctx.getImageData(x,y,w,h);
var obj = {
r: imgData.data[0],
g: imgData.data[1],
b: imgData.data[2],
a: imgData.data[3]
}
return obj;
}
//将rgb转换为hsl对象()
function rgbToHslObj(r, g, b) {
r /= 255;
g /= 255;
b /= 255;
var max = Math.max(r, g, b);
var min = Math.min(r, g, b);
var diff = max - min;
var twoValue = max + min;
var obj = {h:0, s:0, l:0};
if(max == min) {
obj.h = 0;
} else if(max == r && g >= b) {
obj.h = 60 * (g - b) / diff;
} else if(max == r && g < b) {
obj.h = 60 * (g - b) / diff + 360;
} else if(max == g) {
obj.h = 60 * (b - r) / diff + 120;
} else if(max == b) {
obj.h = 60 * (r - g) / diff + 240;
}
obj.l = twoValue / 2;
if(obj.l == 0 || max == min) {
obj.s = 0;
} else if(0 < obj.l && obj.l <= 0.5) {
obj.s = diff / twoValue;
//obj.s = diff / (2 * obj.l);
} else {
obj.s = diff / (2 - twoValue);
//obj.s = diff / (2 - 2 * obj.l);
}
obj.h = Math.round(obj.h);
return obj;
}
//创建Hue颜色圆环
function createHueRing() {
ctx.globalCompositeOperation = "source-over";
ctx.clearRect(0,0,c.width,c.height);
ctx.save();
//将绘制原点移动到画布中心
ctx.translate(centerX, centerY);
//将画布放大相应比例,restore后,绘制内容会缩小
ctx.scale(scaleRate, scaleRate);
for(var i=0; i<count; i++) {
var degree = i / count * 360;
var radian = Math.PI * degree / 180;
var x = scaledRadius * Math.cos(radian);
var y = scaledRadius * Math.sin(radian);
ctx.lineWidth=1;
ctx.strokeStyle = "hsl(" + degree +"," + saturation + "," + luminance + ")";
ctx.beginPath();
ctx.moveTo(x, y);
ctx.lineTo(0,0);
ctx.stroke();
}
ctx.restore();
ctx.globalCompositeOperation = "destination-out";
fillCircle(centerX, centerY, deprecatedRadius, "black");
ctx.globalCompositeOperation = "destination-in";
fillCircle(centerX, centerY, innerRadius, "black");
}
//点击canvas中的Hue拾色圈
function onCanvasClick() {
var x = event.offsetX;
var y = event.offsetY;
if(!isInValidRange(x, y)) {
return;
}
currentHuePosX = x;
currentHuePosY = y;
//创建hue背景圆环
createHueRing();
setColorValue(x, y);
strokeCrossCursor(x, y);
}
function setColorValue(x, y) {
//获取包含rgb的颜色对象
var rgbObj = getRgbObj(x, y);
var rgbColor = formRgbColor(rgbObj);
colorDiv.style.backgroundColor = rgbColor;
rgbValueDiv.value = rgbColor;
var hex = "#" + toHexString(rgbObj.r) + toHexString(rgbObj.g) + toHexString(rgbObj.b);
hexadecimalValueDiv.value = hex;
var hslObj = rgbToHslObj(rgbObj.r, rgbObj.g, rgbObj.b);
hslValueDiv.value = formHslColor(hslObj);
hueTipDiv.innerHTML = ("Hue:" + hslObj.h);
}
function onHSLRangeChange() {
//event.target.value;
saturation = saturationRange.value + "%";
luminance = luminanceRange.value + "%";
saturationTipDiv.innerHTML = ("Saturation:" + saturation);
luminanceTipDiv.innerHTML = ("Luminance:" + luminance);
createHueRing();
setColorValue(currentHuePosX, currentHuePosY)
strokeCrossCursor(currentHuePosX, currentHuePosY);
}
function init() {
c.addEventListener("click", onCanvasClick);
onHSLRangeChange();
}
init();
</script>
</body>
</html>


有几个缺陷:
- 不能根据颜色值来设置HSL。
- 由于HSL的值是根据从Hue环形调色板中取出的RGB颜色值换算为HSL的,因此跟滑动条上的值可能会有出入(如果是5舍6入那就一样了)
以上就是本文的全部内容,希望对大家的学习有所帮助,也希望大家多多支持自学编程网。

- 本文固定链接: https://zxbcw.cn/post/187048/
- 转载请注明:必须在正文中标注并保留原文链接
- QQ群: PHP高手阵营官方总群(344148542)
- QQ群: Yii2.0开发(304864863)