baseline
import tensorflow.keras.layers as layers
baseline_model = keras.Sequential(
[
layers.Dense(16, activation='relu', input_shape=(NUM_WORDS,)),
layers.Dense(16, activation='relu'),
layers.Dense(1, activation='sigmoid')
]
)
baseline_model.compile(optimizer='adam',
loss='binary_crossentropy',
metrics=['accuracy', 'binary_crossentropy'])
baseline_model.summary()
baseline_history = baseline_model.fit(train_data, train_labels,
epochs=20, batch_size=512,
validation_data=(test_data, test_labels),
verbose=2)
小模型
small_model = keras.Sequential(
[
layers.Dense(4, activation='relu', input_shape=(NUM_WORDS,)),
layers.Dense(4, activation='relu'),
layers.Dense(1, activation='sigmoid')
]
)
small_model.compile(optimizer='adam',
loss='binary_crossentropy',
metrics=['accuracy', 'binary_crossentropy'])
small_model.summary()
small_history = small_model.fit(train_data, train_labels,
epochs=20, batch_size=512,
validation_data=(test_data, test_labels),
verbose=2)
大模型
big_model = keras.Sequential(
[
layers.Dense(512, activation='relu', input_shape=(NUM_WORDS,)),
layers.Dense(512, activation='relu'),
layers.Dense(1, activation='sigmoid')
]
)
big_model.compile(optimizer='adam',
loss='binary_crossentropy',
metrics=['accuracy', 'binary_crossentropy'])
big_model.summary()
big_history = big_model.fit(train_data, train_labels,
epochs=20, batch_size=512,
validation_data=(test_data, test_labels),
verbose=2)
绘图比较上述三个模型
def plot_history(histories, key='binary_crossentropy'):
plt.figure(figsize=(16,10))
for name, history in histories:
val = plt.plot(history.epoch, history.history['val_'+key],
'--', label=name.title()+' Val')
plt.plot(history.epoch, history.history[key], color=val[0].get_color(),
label=name.title()+' Train')
plt.xlabel('Epochs')
plt.ylabel(key.replace('_',' ').title())
plt.legend()
plt.xlim([0,max(history.epoch)])
plot_history([('baseline', baseline_history),
('small', small_history),
('big', big_history)])

三个模型在迭代过程中在训练集的表现都会越来越好,并且都会出现过拟合的现象
大模型在训练集上表现更好,过拟合的速度更快
l2正则减少过拟合
l2_model = keras.Sequential(
[
layers.Dense(16, kernel_regularizer=keras.regularizers.l2(0.001),
activation='relu', input_shape=(NUM_WORDS,)),
layers.Dense(16, kernel_regularizer=keras.regularizers.l2(0.001),
activation='relu'),
layers.Dense(1, activation='sigmoid')
]
)
l2_model.compile(optimizer='adam',
loss='binary_crossentropy',
metrics=['accuracy', 'binary_crossentropy'])
l2_model.summary()
l2_history = l2_model.fit(train_data, train_labels,
epochs=20, batch_size=512,
validation_data=(test_data, test_labels),
verbose=2)
plot_history([('baseline', baseline_history),
('l2', l2_history)])

可以发现正则化之后的模型在验证集上的过拟合程度减少
添加dropout减少过拟合
dpt_model = keras.Sequential(
[
layers.Dense(16, activation='relu', input_shape=(NUM_WORDS,)),
layers.Dropout(0.5),
layers.Dense(16, activation='relu'),
layers.Dropout(0.5),
layers.Dense(1, activation='sigmoid')
]
)
dpt_model.compile(optimizer='adam',
loss='binary_crossentropy',
metrics=['accuracy', 'binary_crossentropy'])
dpt_model.summary()
dpt_history = dpt_model.fit(train_data, train_labels,
epochs=20, batch_size=512,
validation_data=(test_data, test_labels),
verbose=2)
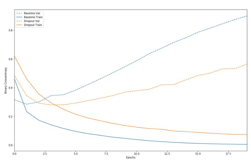
plot_history([('baseline', baseline_history),
('dropout', dpt_history)])

批正则化
model = keras.Sequential([
layers.Dense(64, activation='relu', input_shape=(784,)),
layers.BatchNormalization(),
layers.Dense(64, activation='relu'),
layers.BatchNormalization(),
layers.Dense(64, activation='relu'),
layers.BatchNormalization(),
layers.Dense(10, activation='softmax')
])
model.compile(optimizer=keras.optimizers.SGD(),
loss=keras.losses.SparseCategoricalCrossentropy(),
metrics=['accuracy'])
model.summary()
history = model.fit(x_train, y_train, batch_size=256, epochs=100, validation_split=0.3, verbose=0)
plt.plot(history.history['accuracy'])
plt.plot(history.history['val_accuracy'])
plt.legend(['training', 'validation'], loc='upper left')
plt.show()
总结
防止神经网络中过度拟合的最常用方法:
获取更多训练数据。
减少网络容量。
添加权重正规化。
添加dropout。
以上这篇keras处理欠拟合和过拟合的实例讲解就是小编分享给大家的全部内容了,希望能给大家一个参考,也希望大家多多支持自学编程网。

- 本文固定链接: https://www.zxbcw.cn/post/187212/
- 转载请注明:必须在正文中标注并保留原文链接
- QQ群: PHP高手阵营官方总群(344148542)
- QQ群: Yii2.0开发(304864863)