直接用英文逗号分隔就可以了,比如:
inerface IHello {
String sayHello(String name);
}
interface IHi {
String sayHi(String name);
}
class ServiceImpl implements IHello, IHi {// 实现三个四个。。。n个接口都是使用逗号分隔
public String sayHello(String name) {
return "Hello, " + name;
}
public String sayHi(String name) {
return "Hi, " + name;
}
}
补充知识:Java 一个类实现的多个接口,有相同签名的default方法会怎么办?
看代码吧~
public interface A {
default void hello() {
System.out.println("Hello from A");
}
}
public interface B extends A {
default void hello() {
System.out.println("Hello from B");
}
}
public class C implements B, A {
public static void main(String... args) {
new C().hello();
}
}
这段代码,会打印什么呢?
有三条规则
类永远赢。类声明的方法,或者超类声明的方法,比default方法的优先级高
否则,子接口赢
否则,如果集成自多个接口,必须明确选择某接口的方法
上面代码的UML图如下

所以,上面的代码,输出是
Hello from B
如果这样呢?
public class D implements A{
}
public class C extends D implements B, A {
public static void main(String... args) {
new C().hello();
}
}
UML图是这样的

规则1说,类声明的方法优先级高,但是,D没有覆盖hello方法,它只是实现了接口A。所以,它的default方法来自接口A。规则2说,如果类和超类没有方法,就是子接口赢。所以,程序打印的还是“Hello from B”。
所以,如果这样修改代码
public class D implements A{
void hello(){
System.out.println("Hello from D");
}
}
public class C extends D implements B, A {
public static void main(String... args) {
new C().hello();
}
}
程序的输出就是“Hello from D”。
如果D这样写
public abstract class D implements A {
public abstract void hello();
}
C就只能实现自己的抽象方法hello了。
如果是这样的代码呢
public interface A {
default void hello() {
System.out.println("Hello from A");
}
}
public interface B {
default void hello() {
System.out.println("Hello from B");
}
}
public class C implements B, A {
}
UML图如下

会生成这样的编译器错误
"Error: class C inherits unrelated defaults for hello() from types B and A."
怎么修改代码呢?只能明确覆盖某接口的方法
public class C implements B, A {
void hello(){
B.super.hello();
}
}
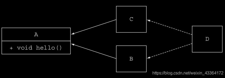
如果代码是这样的,又会怎样呢?
public interface A{
default void hello(){
System.out.println("Hello from A");
}
}
public interface B extends A {
}
public interface C extends A {
}
public class D implements B, C {
public static void main(String... args) {
new D().hello();
}
}
UML图是这样的

很明显,还是不能编译。
以上这篇java 一个类实现两个接口的案例就是小编分享给大家的全部内容了,希望能给大家一个参考,也希望大家多多支持自学编程网。

- 本文固定链接: https://www.zxbcw.cn/post/197001/
- 转载请注明:必须在正文中标注并保留原文链接
- QQ群: PHP高手阵营官方总群(344148542)
- QQ群: Yii2.0开发(304864863)