首页 > 编程语言 > 如何建立一个超图详解
2021
05-02

如何建立一个超图详解

1.图和超图

图作为一种数据结构,由节点和边组成,可由下图表示。其中一个边只能链接两个节点。一个图可表示为G=(v,e,w)

其中v表示节点,e表示边,w表示节点的特征。关于图的表示可参考,本文不再详述。

在这里插入图片描述

对于超图,其与图结构最主要的区别就是一条边可以连接多个节点,因此我们可以认为图是一种特殊的超图。超图结构如下图所示。

在这里插入图片描述

在这里插入图片描述

超图可表示为G=(υ,ε,ω)。其中υ为节点集合,ε为超边集合,ω为超边权重的对称矩阵。超图G可以关联矩阵H来表示,其词条定义为:

在这里插入图片描述

改公式可解释为如果某个节点属于某个超边,则关联矩阵H的值为1,否则为0。

对于单个节点v可定义为:

在这里插入图片描述

可解释为连接该节点的所有边乘上权重向量的和。

Dₑ和Dᵥ由d(v)和s(e)分别表示为超边和节点的对角矩阵。

单个边可定义为:

在这里插入图片描述

可以理解为该边包含的所有节点之和。

2.实例

下面举出一个具体实例帮助理解超图的构建。以该图为例

在这里插入图片描述

图中有8个节点,3个超边。超边的细化图如下:

在这里插入图片描述

假设权重&W&为全1矩阵,因为它对构建超图数据结果无影响,那么H为一个3行8列的矩阵,表示为:

h(1,1) = 0

h(2,1) = 1

h(3,1) = 0

h(4,1) = 1

h(5,1) = 0

h(6,1) = 0

h(7,1) = 0

h(8,1) = 1

h(1,2) = 1

h(2,2) = 0

h(3,2) = 0

h(4,2) = 0

h(5,2) = 0

h(6,2) = 1

h(7,2) = 1

h(8,2) = 0

h(1,3) = 0

h(2,3) = 0

h(3,3) = 1

h(4,3) = 0

h(5,3) = 1

h(6,3) = 0

h(7,3) = 1

h(8,3) = 0

H =

De​表示为:

d(1) = 1

d(2) = 1

d(3) = 1

d(4) = 1

d(5) = 1

d(6) = 1

d(7) = 2

d(8) = 1

Dv​表示为:

s(1) = 3

s(2) = 3

s(3) = 3

3.代码实现

下面我们用python代码进行编程,我们的目标是在知道节点的特征W通过特征的距离来生成 G \mathcal{G} G矩阵。路线为:W,H, G \mathcal{G} G。主要代码如下:

import numpy as np
#KNN生成H
x = np.array([[1,0,0,0,1,0,1,0,0,0],
        [1,1,1,0,0,0,1,1,1,0],
       [1,1,1,0,0,1,1,1,1,0],
       [0,1,0,0,0,0,1,0,1,0],
       [1,1,1,1,0,0,1,1,0,1],
       [1,0,1,0,0,1,0,1,1,0],
       [0,1,0,0,1,0,1,1,1,0],
       [0,1,1,0,1,0,1,0,1,1]])
def Eu_dis(x):
    """
    Calculate the distance among each raw of x
    :param x: N X D
                N: the object number
                D: Dimension of the feature
    :return: N X N distance matrix
    """
    x = np.mat(x)
    aa = np.sum(np.multiply(x, x), 1)
    ab = x * x.T
    dist_mat = aa + aa.T - 2 * ab
    dist_mat[dist_mat < 0] = 0
    dist_mat = np.sqrt(dist_mat)
    dist_mat = np.maximum(dist_mat, dist_mat.T)
    return dist_mat
def hyperedge_concat(*H_list):
    """
    Concatenate hyperedge group in H_list
    :param H_list: Hyperedge groups which contain two or more hypergraph incidence matrix
    :return: Fused hypergraph incidence matrix
    """
    H = None
    for h in H_list:
        if h is not None and h != []:
            # for the first H appended to fused hypergraph incidence matrix
            if H is None:
                H = h
            else:
                if type(h) != list:
                    H = np.hstack((H, h))
                else:
                    tmp = []
                    for a, b in zip(H, h):
                        tmp.append(np.hstack((a, b)))
                    H = tmp
    return H
def construct_H_with_KNN_from_distance(dis_mat, k_neig, is_probH=True, m_prob=1):
    """
    construct hypregraph incidence matrix from hypergraph node distance matrix
    :param dis_mat: node distance matrix
    :param k_neig: K nearest neighbor
    :param is_probH: prob Vertex-Edge matrix or binary
    :param m_prob: prob
    :return: N_object X N_hyperedge
    """
    n_obj = dis_mat.shape[0]
    # construct hyperedge from the central feature space of each node
    n_edge = n_obj
    H = np.zeros((n_obj, n_edge))
    for center_idx in range(n_obj):
        dis_mat[center_idx, center_idx] = 0
        dis_vec = dis_mat[center_idx]
        nearest_idx = np.array(np.argsort(dis_vec)).squeeze()
        avg_dis = np.average(dis_vec)
        if not np.any(nearest_idx[:k_neig] == center_idx):
            nearest_idx[k_neig - 1] = center_idx
        for node_idx in nearest_idx[:k_neig]:
            if is_probH:
                H[node_idx, center_idx] = np.exp(-dis_vec[0, node_idx] ** 2 / (m_prob * avg_dis) ** 2)
            else:
                H[node_idx, center_idx] = 1.0
    return H
def construct_H_with_KNN(X, K_neigs=[10], split_diff_scale=False, is_probH=True, m_prob=1):
    """
    init multi-scale hypergraph Vertex-Edge matrix from original node feature matrix
    :param X: N_object x feature_number
    :param K_neigs: the number of neighbor expansion
    :param split_diff_scale: whether split hyperedge group at different neighbor scale
    :param is_probH: prob Vertex-Edge matrix or binary
    :param m_prob: prob
    :return: N_object x N_hyperedge
    """
    if len(X.shape) != 2:
        X = X.reshape(-1, X.shape[-1])
    if type(K_neigs) == int:
        K_neigs = [K_neigs]
    dis_mat = Eu_dis(X)
    H = []
    for k_neig in K_neigs:
        H_tmp = construct_H_with_KNN_from_distance(dis_mat, k_neig, is_probH, m_prob)
        if not split_diff_scale:
            H = hyperedge_concat(H, H_tmp)
        else:
            H.append(H_tmp)
    return H
H = construct_H_with_KNN(x)
#生成G
def generate_G_from_H(H, variable_weight=False):
    """
    calculate G from hypgraph incidence matrix H
    :param H: hypergraph incidence matrix H
    :param variable_weight: whether the weight of hyperedge is variable
    :return: G
    """
    if type(H) != list:
        return _generate_G_from_H(H, variable_weight)
    else:
        G = []
        for sub_H in H:
            G.append(generate_G_from_H(sub_H, variable_weight))
        return G
def _generate_G_from_H(H, variable_weight=False):
    """
    calculate G from hypgraph incidence matrix H
    :param H: hypergraph incidence matrix H
    :param variable_weight: whether the weight of hyperedge is variable
    :return: G
    """
    H = np.array(H)
    n_edge = H.shape[1]
    # the weight of the hyperedge
    W = np.ones(n_edge)
    # the degree of the node
    DV = np.sum(H * W, axis=1)
    # the degree of the hyperedge
    DE = np.sum(H, axis=0)
    invDE = np.mat(np.diag(np.power(DE, -1)))
    DV2 = np.mat(np.diag(np.power(DV, -0.5)))
    W = np.mat(np.diag(W))
    H = np.mat(H)
    HT = H.T
    if variable_weight:
        DV2_H = DV2 * H
        invDE_HT_DV2 = invDE * HT * DV2
        return DV2_H, W, invDE_HT_DV2
    else:
        G = DV2 * H * W * invDE * HT * DV2
        return G
G = generate_G_from_H(H)

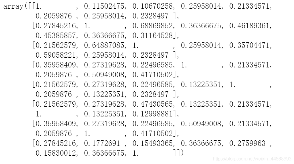
实验结果:

H

在这里插入图片描述

G

在这里插入图片描述

到此这篇关于如何建立一个超图的文章就介绍到这了,希望对你有帮助,更多相关超图内容请搜索自学编程网以前的文章或继续浏览下面的相关文章,希望大家以后多多支持自学编程网!

编程技巧