计算π的方法
一、蒙特卡罗法
这种方法是一种利用计算机随机数的功能基于“随机数”的算法,通过计算落在单位圆内的点与落在正方形内的点的比值求π。

由于图形的对称性,我们靠考虑该图的四分之一部分。
假定一点能够均匀地扔到一个正方形中,计算落入其中的点个数。通过计数其中落入内切圆的点的个数;
如果一共投入N个点,其中有M个落入圆中,则只要点均匀,假定圆周的半径为R,则:

该方法得到的要得到π的精度与投入点的个数有关,一般个数较大时精度比较高。
java代码:随机计算π的程序
public class RandomPI {
public static void main(String[] args) {
// TODO Auto-generated method stub
System.out.println(rand_pi(100000)); //改变参数值
}
public static double rand_pi(int n) {
int numInCircle = 0;
double x, y;
double pi;
for(int i=0;i < n; i++){
x = Math.random();
y = Math.random();
if(x * x + y * y < 1)
numInCircle++;
}
pi=(4.0 * numInCircle) / n;
return pi;
}

可以看出来,该方法投入点的个数越大,越接近真实值。
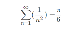
二、数学公式(级数)
由数学公式:

java代码:随机计算π的程序
public class MathPi {
public static void main(String[] args) {
// TODO Auto-generated method stub
System.out.println(math_Pi(1000));//改变参数值
}
public static double math_Pi(int n) {
int numInCircle = 0;
double sum = 0;
double pi;
for(int i=1;i <= n; i++){
sum += 1.0/(i*i);
}
pi = Math.sqrt(sum * 6);
return pi;
}
}
当n取1000时就很接近真实值了n=1000时,pi=3.1406380562059946。
三、划分网格计算π

将图片分为n*n个小方形,统计落在圆内的个数占所有方形的比列。
java代码:随机计算π的程序
public class gridPI {
public static void main(String[] args) {
// TODO Auto-generated method stub
System.out.println(grid_Pi(10));//改变参数值
}
public static double grid_Pi(int n) {
int i;
double sum=0;
for(i = 0;i < n; i++)
sum += (int)Math.sqrt(n*(double)n-i*(double)i);
return (4.0 * sum)/n/n;
}
}

到此这篇关于java计算π多种方法的文章就介绍到这了,希望对你有所帮助,更多相关计算圆周率内容请搜索自学编程网以前的文章或继续浏览下面的相关文章希望大家以后多多支持自学编程网!

- 本文固定链接: https://www.zxbcw.cn/post/209993/
- 转载请注明:必须在正文中标注并保留原文链接
- QQ群: PHP高手阵营官方总群(344148542)
- QQ群: Yii2.0开发(304864863)