卡方检验
在数据统计中,卡方检验是一种很重要的方法。
通常卡方检验的应用主要为:
1、 卡方拟合优度检验
2、卡方独立性检验
本文主要通过使用自己编程的方法实现相关检验。
卡方拟合优度检验
理论:
1、我们先做出0假设:H0:总体服从假定的理论分布
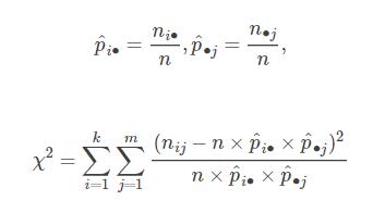
2、我们再构造一个统计量:

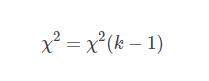
3、当n充分大时

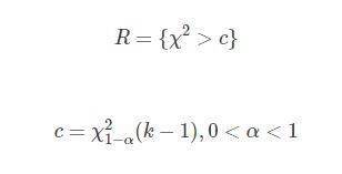
4、我们得到该拒绝域

代码
#Chi_square Goodness Of Fit Test
#函数说明:
#n为所得样本数据;p为理论概率
#alpha为置信水平,df为自由度
cgoft <- function(n,p){
N <- length(n)#N为样本总容量
sumn <- sum(n)
XX <- 0
for (i in 1:N) {
XX <- XX +(n[i]-sumn*p[i])^2/(sumn*p[i])
print(XX)
}
return(XX)
}
c <- qchisq(1-aplha,df)
卡方独立性检验
理论:
1、我们先做出0假设:H0:二者没有相关关系
2、我们再构造一个统计量:

3、当n充分大时

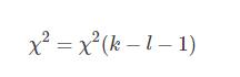
4、我们得到该拒绝域

代码
#Chi_square Independence Test
#函数说明:
#n为样本数据,表格按行排列,写成向量形式;row为表格行数
#alpha为置信水平,df为自由度
cit <- function(n,row){
N <- length(n)
sumn <- sum(n)
n1 <- matrix(n,nrow=row,byrow = TRUE)
column <- N/row
pi <- c()
for (i in 1:row) {
pi[i] <- sum(n1[i,])/sumn
}
pj <- c()
for (j in 1:column) {
pj[j] <- sum(n1[,j])/sumn
}
XX <- 0
print(pj)
for (i in 1:row) {
for (j in 1:column) {
XX <- XX + (n1[i,j]-sumn*pi[i]*pj[j])^2/(sumn*pi[i]*pj[j])
}
}
return(XX)
}
c <- qchisq(1-aplha,df)
补充:R语言实施皮尔森卡方检验
说明
检查两个数据集中的类别分量是否不同,在统计中会碰到离散型数据与计数数据,比如性别分男、女,某个问题的态度分为赞成、反对,成绩可分优良差,能力可分高中低。对这类数据的统计处理的假设检验一般用计数数据的统计方法进行非参数检验。
卡方检验主要用于两个方面,一是对总体分布进行拟合性检验,检验观查次数是否与某种理论次数相一致。
二是独立性检验,用于检验两组或者多组资料相互关联还是彼此独立。
操作示例(独立性检验)
#mtcars$am有0,1两个因素表示行,mtcars$gear 有3,4,5三个因素表示列
library(stats)
data("mtcars)
ftable = table(mtcars$am,mtcars$gear)
ftable = table(mtcars$am,mtcars$gear)
ftable = table(mtcars$am,mtcars$gear)
> ftable
3 4 5
0 15 4 0
1 0 8 5
#绘制列联表的马赛克图 mosaicplot(ftable,main ="number of forward gears within automatic and manual cars",color = TRUE )

对列联表执行卡方检验,以检测自动档与手动档汽车前驱的齿轮数目是否相同:
chisq.test(ftable)
Pearson's Chi-squared test
data: ftable
X-squared = 20.945, df = 2, p-value = 2.831e-05
Warning message:
In chisq.test(ftable) : Chi-squared近似算法有可能不准
总结
卡方检验用于发现两个类别变量之间是否存在某种关联,最适用于数组中非成组信息的检验。使用条件:1.数据都为类别数据2.变量包括两个或者两个以上独立数据组。
H0:变量A与变量B相互独立(gear数目相同)
H1:变量A与变量B相互不独(gear数目不相同)
由图知:自动档的gear要小于手动档的gear.p-value<0.05,拒绝H0,接收H1.
样例输出了一个警告信息,此次卡方检验的结果可能不正确,这是因为列联表的个数小于5。
以上为个人经验,希望能给大家一个参考,也希望大家多多支持自学编程网。如有错误或未考虑完全的地方,望不吝赐教。

- 本文固定链接: https://www.zxbcw.cn/post/210088/
- 转载请注明:必须在正文中标注并保留原文链接
- QQ群: PHP高手阵营官方总群(344148542)
- QQ群: Yii2.0开发(304864863)