前言
这一章节我们来讨论创建Bean过程中的属性注入,在Spring的IOC容器启动过程中,会把定义的Bean封装成BeanDefinition注册到一个ConcurrentHashMap中,Bean注册完成后,就会对单利的且lazy-init=false 的Bean进行实例化。创建Bean的代码在 AbstractAutowireCapableBeanFactory#doCreateBean 中,当Bean创建成功之后,会调用AbstractAutowireCapableBeanFactory#populateBean 方法进行属性注入。本篇文章主要就是分析该方法是如何实现Bean的属性注入的。
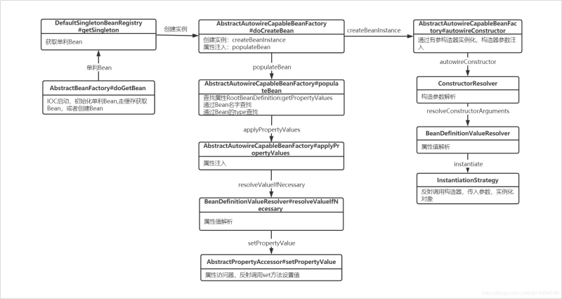
这里先上一个属性注入的流程图,待会儿可以根据这个图来看代码

属性注入:AbstractAutowireCapableBeanFactory#populateBean
AbstractAutowireCapableBeanFactory#populateBean 方法的主要功能就是属性填充,源码如下
//使用 bean 定义中的属性值填充给定 BeanWrapper 中的 bean 实例。
@SuppressWarnings("deprecation") // for postProcessPropertyValues
protected void populateBean(String beanName, RootBeanDefinition mbd, @Nullable BeanWrapper bw) {
if (bw == null) {
//判断是否有property属性
if (mbd.hasPropertyValues()) {
throw new BeanCreationException(
mbd.getResourceDescription(), beanName, "Cannot apply property values to null instance");
}
else {
//没有任何属性可以填充
// Skip property population phase for null instance.
return;
}
}
// Give any InstantiationAwareBeanPostProcessors the opportunity to modify the
// state of the bean before properties are set. This can be used, for example,
// to support styles of field injection.
//让 InstantiationAwareBeanPostProcessors 也在属性注入之前改变Bean的状态
if (!mbd.isSynthetic() && hasInstantiationAwareBeanPostProcessors()) {
for (BeanPostProcessor bp : getBeanPostProcessors()) {
if (bp instanceof InstantiationAwareBeanPostProcessor) {
InstantiationAwareBeanPostProcessor ibp = (InstantiationAwareBeanPostProcessor) bp;
if (!ibp.postProcessAfterInstantiation(bw.getWrappedInstance(), beanName)) {
return;
}
}
}
}
//从 RootBeanDefinition 获取所有的PropertyValues
PropertyValues pvs = (mbd.hasPropertyValues() ? mbd.getPropertyValues() : null);
int resolvedAutowireMode = mbd.getResolvedAutowireMode();
//根据名字获取根据type注入
if (resolvedAutowireMode == AUTOWIRE_BY_NAME || resolvedAutowireMode == AUTOWIRE_BY_TYPE) {
MutablePropertyValues newPvs = new MutablePropertyValues(pvs);
// Add property values based on autowire by name if applicable.
//如果适用,根据名称添加基于自动装配的属性值。
if (resolvedAutowireMode == AUTOWIRE_BY_NAME) {
autowireByName(beanName, mbd, bw, newPvs);
}
// Add property values based on autowire by type if applicable.
//如果适用,根据类型添加基于自动装配的属性值
if (resolvedAutowireMode == AUTOWIRE_BY_TYPE) {
autowireByType(beanName, mbd, bw, newPvs);
}
pvs = newPvs;
}
//后置处理器是否已经注册,初始化好了
boolean hasInstAwareBpps = hasInstantiationAwareBeanPostProcessors();
//是否要检查依赖,默认false
boolean needsDepCheck = (mbd.getDependencyCheck() != AbstractBeanDefinition.DEPENDENCY_CHECK_NONE);
PropertyDescriptor[] filteredPds = null;
if (hasInstAwareBpps) {
if (pvs == null) {
pvs = mbd.getPropertyValues();
}
//获取后置处理器
for (BeanPostProcessor bp : getBeanPostProcessors()) {
//如果是Bean实例化后置处理器
if (bp instanceof InstantiationAwareBeanPostProcessor) {
InstantiationAwareBeanPostProcessor ibp = (InstantiationAwareBeanPostProcessor) bp;
//
PropertyValues pvsToUse = ibp.postProcessProperties(pvs, bw.getWrappedInstance(), beanName);
if (pvsToUse == null) {
if (filteredPds == null) {
filteredPds = filterPropertyDescriptorsForDependencyCheck(bw, mbd.allowCaching);
}
//对需要依赖检查的属性进行后置处理
pvsToUse = ibp.postProcessPropertyValues(pvs, filteredPds, bw.getWrappedInstance(), beanName);
if (pvsToUse == null) {
return;
}
}
pvs = pvsToUse;
}
}
}
if (needsDepCheck) {
if (filteredPds == null) {
filteredPds = filterPropertyDescriptorsForDependencyCheck(bw, mbd.allowCaching);
}
checkDependencies(beanName, mbd, filteredPds, pvs);
}
if (pvs != null) {
//依赖注入入口,讲属性应用到Bean中
applyPropertyValues(beanName, mbd, bw, pvs);
}
}
方法中的重要代码
- autowireByName : 根据属性名进行注入
- autowireByType:根据类型注入Bean
- InstantiationAwareBeanPostProcessor.postProcessPropertyValues :该方法是在工厂将给定的属性值应用于给定的 bean 之前对给定的属性值进行处理,比如:RequiredAnnotationBeanPostProcessor类中对属性的验证。
- applyPropertyValues:属性的填充
autowireByName是根据名字注入,源码如下
protected void autowireByName(
String beanName, AbstractBeanDefinition mbd, BeanWrapper bw, MutablePropertyValues pvs) {
//寻找BeanWrapper中需要依赖的属性
String[] propertyNames = unsatisfiedNonSimpleProperties(mbd, bw);
for (String propertyName : propertyNames) {
if (containsBean(propertyName)) {
//递归实例化的Bean
Object bean = getBean(propertyName);
pvs.add(propertyName, bean);
//注册依赖的Bean,加入 dependentBeanMap 中
registerDependentBean(propertyName, beanName);
if (logger.isTraceEnabled()) {
logger.trace("Added autowiring by name from bean name '" + beanName +
"' via property '" + propertyName + "' to bean named '" + propertyName + "'");
}
}
else {
if (logger.isTraceEnabled()) {
logger.trace("Not autowiring property '" + propertyName + "' of bean '" + beanName +
"' by name: no matching bean found");
}
}
}
}
这个方法很简单,就是先找到依赖的Bean,递归初始化,然后加入 pvs中
//定义“按类型自动装配”(按类型的 bean 属性)行为的抽象方法
protected void autowireByType(
String beanName, AbstractBeanDefinition mbd, BeanWrapper bw, MutablePropertyValues pvs) {
//类型转换器
TypeConverter converter = getCustomTypeConverter();
if (converter == null) {
converter = bw;
}
Set<String> autowiredBeanNames = new LinkedHashSet<>(4);
//找到需要注入的属性
String[] propertyNames = unsatisfiedNonSimpleProperties(mbd, bw);
for (String propertyName : propertyNames) {
try {
//属性描述
PropertyDescriptor pd = bw.getPropertyDescriptor(propertyName);
// Don't try autowiring by type for type Object: never makes sense,
// even if it technically is a unsatisfied, non-simple property.
if (Object.class != pd.getPropertyType()) {
//获取对象的set方法
MethodParameter methodParam = BeanUtils.getWriteMethodParameter(pd);
// Do not allow eager init for type matching in case of a prioritized post-processor.
boolean eager = !(bw.getWrappedInstance() instanceof PriorityOrdered);
//依赖描述
DependencyDescriptor desc = new AutowireByTypeDependencyDescriptor(methodParam, eager);
//【重要】得到依赖的属性的值,存储到 autowiredBeanNames 集合中
//提供了对集合如:@Autowired private List<A> as; 支持,根据类型走到所有的Bean注入其中
Object autowiredArgument = resolveDependency(desc, beanName, autowiredBeanNames, converter);
if (autowiredArgument != null) {
//添加到pvs
pvs.add(propertyName, autowiredArgument);
}
for (String autowiredBeanName : autowiredBeanNames) {
//注入依赖的Bean
registerDependentBean(autowiredBeanName, beanName);
if (logger.isTraceEnabled()) {
logger.trace("Autowiring by type from bean name '" + beanName + "' via property '" +
propertyName + "' to bean named '" + autowiredBeanName + "'");
}
}
//清理掉依赖
autowiredBeanNames.clear();
}
}
catch (BeansException ex) {
throw new UnsatisfiedDependencyException(mbd.getResourceDescription(), beanName, propertyName, ex);
}
}
}
看到这,我们大概清楚了,其实在populateBean 方法中会先从RootBeanDefinition 中获取 Bean的属性(PropertyValues),同时也会根据RootBeanDefinition的autowireMode自动注入模式来根据name或者type寻主Bean的依赖的属性。
根据类型注入和根据名字注入都是先从BeanWrapper 中找到Bean的依赖的属性,然后根据属性类型找到匹配的Bean,实现依赖注入。还提供了对集合如:@Autowired private List<A> as; 集合注入的支持。
属性寻找好之后都会封装成 PropertyValues,然后传给applyPropertyValues应用到Bean身上。
AbstractAutowireCapableBeanFactory#applyPropertyValues
我们可以认为前面的代码是在为当前Bean寻找依赖的的属性,封装到 PropertyValues中,在applyPropertyValues中才是把属性应用到当前Bean。
//处理对象之间的引用,使用深拷贝
protected void applyPropertyValues(String beanName, BeanDefinition mbd, BeanWrapper bw, PropertyValues pvs) {
if (pvs.isEmpty()) {
return;
}
if (System.getSecurityManager() != null && bw instanceof BeanWrapperImpl) {
((BeanWrapperImpl) bw).setSecurityContext(getAccessControlContext());
}
MutablePropertyValues mpvs = null;
List<PropertyValue> original;
if (pvs instanceof MutablePropertyValues) {
mpvs = (MutablePropertyValues) pvs;
//判断mpvs中的值是否已经转成了对应的类型,已经转了就可以直接设置值到 BeanWrapper了
if (mpvs.isConverted()) {
// Shortcut: use the pre-converted values as-is.
try {
//为实例化对象设置属性
bw.setPropertyValues(mpvs);
return;
}
catch (BeansException ex) {
throw new BeanCreationException(
mbd.getResourceDescription(), beanName, "Error setting property values", ex);
}
}
//获取属性值的原始类型
original = mpvs.getPropertyValueList();
}
else {
//如果类型不是MutablePropertyValues , 就使用原生属性获取方法
original = Arrays.asList(pvs.getPropertyValues());
}
//获取用户自定义的型转换器
TypeConverter converter = getCustomTypeConverter();
if (converter == null) {
converter = bw;
}
//解析器:用于 bean 工厂实现的 Helper 类,将 bean 定义对象中包含的值,解析为应用于目标 bean 实例的实际值。
BeanDefinitionValueResolver valueResolver = new BeanDefinitionValueResolver(this, beanName, mbd, converter);
// Create a deep copy, resolving any references for values.
//存放类型转换过的属性,把Bean的属性解析值新建拷贝,把拷贝的数据注入到对象
List<PropertyValue> deepCopy = new ArrayList<>(original.size());
boolean resolveNecessary = false;
//类型转换,把属性转换为对应的类型
for (PropertyValue pv : original) {
if (pv.isConverted()) {
//属性值不需要转
deepCopy.add(pv);
}
else {
//属性名
String propertyName = pv.getName();
//原始属性值,它的类型是一个 如: RuntimeBeanReference<otherBean> 引用类型
Object originalValue = pv.getValue();
//转换属性值,将引用转换为 IOC 容器中实例化对象引用 OtherBean
Object resolvedValue = valueResolver.resolveValueIfNecessary(pv, originalValue);
Object convertedValue = resolvedValue;
boolean convertible = bw.isWritableProperty(propertyName) &&
!PropertyAccessorUtils.isNestedOrIndexedProperty(propertyName);
if (convertible) {
//使用用户自定义的转换器转换
convertedValue = convertForProperty(resolvedValue, propertyName, bw, converter);
}
// Possibly store converted value in merged bean definition,
// in order to avoid re-conversion for every created bean instance.
if (resolvedValue == originalValue) {
if (convertible) {
//设置转换之后的值到PV ,把依赖的Bean设置给PropertyValue
pv.setConvertedValue(convertedValue);
}
deepCopy.add(pv);
}
else if (convertible && originalValue instanceof TypedStringValue &&
!((TypedStringValue) originalValue).isDynamic() &&
!(convertedValue instanceof Collection || ObjectUtils.isArray(convertedValue))) {
pv.setConvertedValue(convertedValue);
deepCopy.add(pv);
}
else {
resolveNecessary = true;
//转换好的依赖的属性最终放到一个ArrayList中
deepCopy.add(new PropertyValue(pv, convertedValue));
}
}
}
if (mpvs != null && !resolveNecessary) {
mpvs.setConverted();
}
// Set our (possibly massaged) deep copy.
try {
//把解析好的属性 设置到 BeanWrapper 中
bw.setPropertyValues(new MutablePropertyValues(deepCopy));
}
catch (BeansException ex) {
throw new BeanCreationException(
mbd.getResourceDescription(), beanName, "Error setting property values", ex);
}
}
这里主要进行属性转换,然后应用到Bean身上,这里的属性转换比如: 在BeanDefinition中属性可能是用字符串类型来描述的,需要把属性转成真实的原始属性类型。
- 首先判断属性是否需要转换类型,如果不需要转直接应用于Bean。比如:
<property name="otherBean" ref="otherBean" />这种属性值其实是个字符串“otherBean” ,需要解析成容器中的OtherBean实例的引用。 - 如果属性值需要类型转换,比如:属性值是容器中的另外一个Bean,则需要根据属性值解析出引用的对象然后注入到对象的属性上,应用到Bean。
通过 BeanDefinitionValueResolver 类中的 resolveValueIfNecessary()方法中进行属性值的解析, 对属性值的注入是通过 bw.setPropertyValues()方法完成
解析: BeanDefinitionValueResolver#resolveValueIfNecessary
给定一个 PropertyValue根据属性值进行类型解析,必要时解析对工厂中其他 bean 的引用
@Nullable
public Object resolveValueIfNecessary(Object argName, @Nullable Object value) {
// We must check each value to see whether it requires a runtime reference
// to another bean to be resolved.
//对属性值是引用类型的解析
if (value instanceof RuntimeBeanReference) {
//比如:<property name="xx" ref="xxBean" 就是引用类型,会走这里
RuntimeBeanReference ref = (RuntimeBeanReference) value;
//对引用类型属性进行解析
return resolveReference(argName, ref);
}
///对属性值是引用容器中另一个 Bean 名称的解析
else if (value instanceof RuntimeBeanNameReference) {
String refName = ((RuntimeBeanNameReference) value).getBeanName();
refName = String.valueOf(doEvaluate(refName));
//判断容器中是否有这个Bean
if (!this.beanFactory.containsBean(refName)) {
throw new BeanDefinitionStoreException(
"Invalid bean name '" + refName + "' in bean reference for " + argName);
}
return refName;
}
else if (value instanceof BeanDefinitionHolder) {
// Resolve BeanDefinitionHolder: contains BeanDefinition with name and aliases.
//解析 BeanDefinitionHolder:包含带有名称和别名的 BeanDefinition
BeanDefinitionHolder bdHolder = (BeanDefinitionHolder) value;
//解析内部 Bean
return resolveInnerBean(argName, bdHolder.getBeanName(), bdHolder.getBeanDefinition());
}
else if (value instanceof BeanDefinition) {
// Resolve plain BeanDefinition, without contained name: use dummy name.
//解析纯 BeanDefinition,不包含名称
BeanDefinition bd = (BeanDefinition) value;
String innerBeanName = "(inner bean)" + BeanFactoryUtils.GENERATED_BEAN_NAME_SEPARATOR +
ObjectUtils.getIdentityHexString(bd);
return resolveInnerBean(argName, innerBeanName, bd);
}
//对数组类型解析
else if (value instanceof ManagedArray) {
// May need to resolve contained runtime references.
ManagedArray array = (ManagedArray) value;
Class<?> elementType = array.resolvedElementType;
if (elementType == null) {
String elementTypeName = array.getElementTypeName();
if (StringUtils.hasText(elementTypeName)) {
try {
elementType = ClassUtils.forName(elementTypeName, this.beanFactory.getBeanClassLoader());
array.resolvedElementType = elementType;
}
catch (Throwable ex) {
// Improve the message by showing the context.
throw new BeanCreationException(
this.beanDefinition.getResourceDescription(), this.beanName,
"Error resolving array type for " + argName, ex);
}
}
else {
elementType = Object.class;
}
}
return resolveManagedArray(argName, (List<?>) value, elementType);
}
//对集合类型解析
else if (value instanceof ManagedList) {
// May need to resolve contained runtime references.
return resolveManagedList(argName, (List<?>) value);
}
//对Set类型解析
else if (value instanceof ManagedSet) {
// May need to resolve contained runtime references.
return resolveManagedSet(argName, (Set<?>) value);
}
//对Map类型解析
else if (value instanceof ManagedMap) {
// May need to resolve contained runtime references.
return resolveManagedMap(argName, (Map<?, ?>) value);
}
//对Properties解析
else if (value instanceof ManagedProperties) {
Properties original = (Properties) value;
Properties copy = new Properties();
original.forEach((propKey, propValue) -> {
if (propKey instanceof TypedStringValue) {
propKey = evaluate((TypedStringValue) propKey);
}
if (propValue instanceof TypedStringValue) {
propValue = evaluate((TypedStringValue) propValue);
}
if (propKey == null || propValue == null) {
throw new BeanCreationException(
this.beanDefinition.getResourceDescription(), this.beanName,
"Error converting Properties key/value pair for " + argName + ": resolved to null");
}
copy.put(propKey, propValue);
});
return copy;
}
//解析字符串类型的属性值
else if (value instanceof TypedStringValue) {
// Convert value to target type here.
TypedStringValue typedStringValue = (TypedStringValue) value;
Object valueObject = evaluate(typedStringValue);
try {
//目标类型
Class<?> resolvedTargetType = resolveTargetType(typedStringValue);
if (resolvedTargetType != null) {
//目标类型进行解析
return this.typeConverter.convertIfNecessary(valueObject, resolvedTargetType);
}
else {
//类型没获取到,就返回Object类型
return valueObject;
}
}
catch (Throwable ex) {
// Improve the message by showing the context.
throw new BeanCreationException(
this.beanDefinition.getResourceDescription(), this.beanName,
"Error converting typed String value for " + argName, ex);
}
}
else if (value instanceof NullBean) {
return null;
}
else {
return evaluate(value);
}
}
这个方法中就是根据属性的值的类型进行解析,如:String,Array,List,Set,Map的类型,比较复杂的就是属性值依赖的是一个Bean,那么就需要根据依赖的Bean的名字找到容器中的Bean的实例,查找如下:
/**
* Resolve a reference to another bean in the factory.
*/
//关联对象的解析
@Nullable
private Object resolveReference(Object argName, RuntimeBeanReference ref) {
try {
Object bean;
//引用对象的名称
String refName = ref.getBeanName();
refName = String.valueOf(doEvaluate(refName));
//如果对象在父容器中,从父容器获取
if (ref.isToParent()) {
if (this.beanFactory.getParentBeanFactory() == null) {
throw new BeanCreationException(
this.beanDefinition.getResourceDescription(), this.beanName,
"Can't resolve reference to bean '" + refName +
"' in parent factory: no parent factory available");
}
//如果对象在父容器中,从父容器获取
bean = this.beanFactory.getParentBeanFactory().getBean(refName);
}
else {
//[重要]根据依赖的Bean的名字,从当前容器中获取Bean
bean = this.beanFactory.getBean(refName);
//把依赖的Bean的实例和当前对象建议依赖关系,使用 dependentBeanMap 去维护关系
this.beanFactory.registerDependentBean(refName, this.beanName);
}
if (bean instanceof NullBean) {
bean = null;
}
return bean;
}
catch (BeansException ex) {
throw new BeanCreationException(
this.beanDefinition.getResourceDescription(), this.beanName,
"Cannot resolve reference to bean '" + ref.getBeanName() + "' while setting " + argName, ex);
}
}
* For each element in the managed array, resolve reference if necessary.
*/
//解析数组
private Object resolveManagedArray(Object argName, List<?> ml, Class<?> elementType) {
Object resolved = Array.newInstance(elementType, ml.size());
for (int i = 0; i < ml.size(); i++) {
Array.set(resolved, i, resolveValueIfNecessary(new KeyedArgName(argName, i), ml.get(i)));
}
return resolved;
}
/**
* For each element in the managed list, resolve reference if necessary.
*/
//解析List
private List<?> resolveManagedList(Object argName, List<?> ml) {
List<Object> resolved = new ArrayList<>(ml.size());
for (int i = 0; i < ml.size(); i++) {
resolved.add(resolveValueIfNecessary(new KeyedArgName(argName, i), ml.get(i)));
}
return resolved;
}
/**
* For each element in the managed set, resolve reference if necessary.
*/
//解析set
private Set<?> resolveManagedSet(Object argName, Set<?> ms) {
Set<Object> resolved = new LinkedHashSet<>(ms.size());
int i = 0;
for (Object m : ms) {
resolved.add(resolveValueIfNecessary(new KeyedArgName(argName, i), m));
i++;
}
return resolved;
}
/**
* For each element in the managed map, resolve reference if necessary.
*/
//解析Map
private Map<?, ?> resolveManagedMap(Object argName, Map<?, ?> mm) {
Map<Object, Object> resolved = new LinkedHashMap<>(mm.size());
mm.forEach((key, value) -> {
Object resolvedKey = resolveValueIfNecessary(argName, key);
Object resolvedValue = resolveValueIfNecessary(new KeyedArgName(argName, key), value);
resolved.put(resolvedKey, resolvedValue);
});
return resolved;
}
属性值解析完成之后 是封装成一个 MutablePropertyValues,通过 BeanWrapperImpl.setPropertyValues()方法完成值的注入,BeanWrapperImpl中注入方法又是由AbstractPropertyAccessor#setPropertyValue(java.lang.String, java.lang.Object)去完成。
AbstractPropertyAccessor#setPropertyValue
@Override
public void setPropertyValues(PropertyValues pvs, boolean ignoreUnknown, boolean ignoreInvalid)
throws BeansException {
List<PropertyAccessException> propertyAccessExceptions = null;
//拿到所有的属性列表
List<PropertyValue> propertyValues = (pvs instanceof MutablePropertyValues ?
((MutablePropertyValues) pvs).getPropertyValueList() : Arrays.asList(pvs.getPropertyValues()));
for (PropertyValue pv : propertyValues) {
try {
// This method may throw any BeansException, which won't be caught
// here, if there is a critical failure such as no matching field.
// We can attempt to deal only with less serious exceptions.
//设置属性值
setPropertyValue(pv);
}
...省略...
@Override
public void setPropertyValue(String propertyName, @Nullable Object value) throws BeansException {
//属性访问器
AbstractNestablePropertyAccessor nestedPa;
try {
nestedPa = getPropertyAccessorForPropertyPath(propertyName);
}
catch (NotReadablePropertyException ex) {
throw new NotWritablePropertyException(getRootClass(), this.nestedPath + propertyName,
"Nested property in path '" + propertyName + "' does not exist", ex);
}
//属性助手
PropertyTokenHolder tokens = getPropertyNameTokens(getFinalPath(nestedPa, propertyName));
//通过属性访问器为属性设置值
nestedPa.setPropertyValue(tokens, new PropertyValue(propertyName, value));
}
这里看到,属性的注入交给了 AbstractNestablePropertyAccessor 属性访问器去完成
protected void setPropertyValue(PropertyTokenHolder tokens, PropertyValue pv) throws BeansException {
if (tokens.keys != null) {
processKeyedProperty(tokens, pv);
}
else {
//走这里
processLocalProperty(tokens, pv);
}
}
private void processLocalProperty(PropertyTokenHolder tokens, PropertyValue pv) {
//属性处理器
PropertyHandler ph = getLocalPropertyHandler(tokens.actualName);
if (ph == null || !ph.isWritable()) {
if (pv.isOptional()) {
if (logger.isDebugEnabled()) {
logger.debug("Ignoring optional value for property '" + tokens.actualName +
"' - property not found on bean class [" + getRootClass().getName() + "]");
}
return;
}
else {
throw createNotWritablePropertyException(tokens.canonicalName);
}
}
Object oldValue = null;
try {
//原生值
Object originalValue = pv.getValue();
Object valueToApply = originalValue;
...省略...
//这是重点,通过 PropertyHandler 把属性值设置给对象
ph.setValue(valueToApply);
}
catch (TypeMismatchException ex) {
throw ex;
}
这里的属性值通过 PropertyHandler去设置
@Override
public void setValue(@Nullable Object value) throws Exception {
//得到属性的set方法
Method writeMethod = (this.pd instanceof GenericTypeAwarePropertyDescriptor ?
((GenericTypeAwarePropertyDescriptor) this.pd).getWriteMethodForActualAccess() :
this.pd.getWriteMethod());
if (System.getSecurityManager() != null) {
AccessController.doPrivileged((PrivilegedAction<Object>) () -> {
ReflectionUtils.makeAccessible(writeMethod);
return null;
});
try {
AccessController.doPrivileged((PrivilegedExceptionAction<Object>)
() -> writeMethod.invoke(getWrappedInstance(), value), acc);
}
catch (PrivilegedActionException ex) {
throw ex.getException();
}
}
else {
//设置访问权限
ReflectionUtils.makeAccessible(writeMethod);
//调用set方法把属性值设置进去
writeMethod.invoke(getWrappedInstance(), value);
}
}
这里就是得到属性的set方法,然后调用set方法把值注入进去。
构造器注入参数
在之前分析Bean的创建的时候我们就说到,在 AbstractAutowireCapableBeanFactory#createBeanInstance 中会通过反射获取到Bean的构造器,如果是有参构造就会走autowireConstructor 方法,通过有参构造创建实例
protected BeanWrapper createBeanInstance(String beanName, RootBeanDefinition mbd, @Nullable Object[] args) {
// Make sure bean class is actually resolved at this point.
Class<?> beanClass = resolveBeanClass(mbd, beanName);
...省略...
// Need to determine the constructor...
Constructor<?>[] ctors = determineConstructorsFromBeanPostProcessors(beanClass, beanName);
if (ctors != null ||
mbd.getResolvedAutowireMode() == RootBeanDefinition.AUTOWIRE_CONSTRUCTOR ||
mbd.hasConstructorArgumentValues() || !ObjectUtils.isEmpty(args)) {
//【重要】构造器注入参数
return autowireConstructor(beanName, mbd, ctors, args);
}
// No special handling: simply use no-arg constructor.
return instantiateBean(beanName, mbd);
}
在autowireConstructor方法中会通过 ConstructorResolver 对构造器参数进行解析
protected BeanWrapper autowireConstructor(
String beanName, RootBeanDefinition mbd, @Nullable Constructor<?>[] ctors, @Nullable Object[] explicitArgs) {
//构造器解析器,注入
return new ConstructorResolver(this).autowireConstructor(beanName, mbd, ctors, explicitArgs);
}
public BeanWrapper autowireConstructor(final String beanName, final RootBeanDefinition mbd,
@Nullable Constructor<?>[] chosenCtors, @Nullable final Object[] explicitArgs) {
...省略...
else {
//得到构造器参数
ConstructorArgumentValues cargs = mbd.getConstructorArgumentValues();
//得到构造器参数值
resolvedValues = new ConstructorArgumentValues();
//解析参数值【重要】
minNrOfArgs = resolveConstructorArguments(beanName, mbd, bw, cargs, resolvedValues);
}
...省略...
try {
//实例化策略
final InstantiationStrategy strategy = beanFactory.getInstantiationStrategy();
Object beanInstance;
if (System.getSecurityManager() != null) {
final Constructor<?> ctorToUse = constructorToUse;
final Object[] argumentsToUse = argsToUse;
beanInstance = AccessController.doPrivileged((PrivilegedAction<Object>) () ->
strategy.instantiate(mbd, beanName, beanFactory, ctorToUse, argumentsToUse),
beanFactory.getAccessControlContext());
}
else {
//实例化对象,根据有参构造器,使用反射创建实例
beanInstance = strategy.instantiate(mbd, beanName, this.beanFactory, constructorToUse, argsToUse);
}
bw.setBeanInstance(beanInstance);
return bw;
}
resolveConstructorArguments 方法中又通过 BeanDefinitionValueResolver来解析属性值,有参数的值了,就会走反射,根据有参构造器创建实例返回。
private int resolveConstructorArguments(String beanName, RootBeanDefinition mbd, BeanWrapper bw,
ConstructorArgumentValues cargs, ConstructorArgumentValues resolvedValues) {
TypeConverter customConverter = this.beanFactory.getCustomTypeConverter();
TypeConverter converter = (customConverter != null ? customConverter : bw);
//属性值的解析器
BeanDefinitionValueResolver valueResolver =
new BeanDefinitionValueResolver(this.beanFactory, beanName, mbd, converter);
...省略...
for (ConstructorArgumentValues.ValueHolder valueHolder : cargs.getGenericArgumentValues()) {
if (valueHolder.isConverted()) {
resolvedValues.addGenericArgumentValue(valueHolder);
}
else {
//为构造器参数值做解析,这里和之前分析的set注入的属性值解析就一样了
Object resolvedValue =
valueResolver.resolveValueIfNecessary("constructor argument", valueHolder.getValue());
ConstructorArgumentValues.ValueHolder resolvedValueHolder = new ConstructorArgumentValues.ValueHolder(
resolvedValue, valueHolder.getType(), valueHolder.getName());
resolvedValueHolder.setSource(valueHolder);
resolvedValues.addGenericArgumentValue(resolvedValueHolder);
}
}
return minNrOfArgs;
}
因为之前 resolveValueIfNecessary方法已经分析过了,这里就不多说了。
总结
到这里属性注入的流程就分析完了,总结都在这个图上

喜欢的话就给个好评吧,你的肯定是我坚持写作最大的动力,来吧兄弟们,给我一点动力
以上就是Spring Bean的实例化之属性注入源码剖析过程的详细内容,更多关于Spring Bean 实例化属性注入的资料请关注自学编程网其它相关文章!

- 本文固定链接: https://www.zxbcw.cn/post/214810/
- 转载请注明:必须在正文中标注并保留原文链接
- QQ群: PHP高手阵营官方总群(344148542)
- QQ群: Yii2.0开发(304864863)