[LeetCode] 141. Linked List Cycle 单链表中的环
Given a linked list, determine if it has a cycle in it.
To represent a cycle in the given linked list, we use an integer pos which represents the position (0-indexed) in the linked list where tail connects to. If pos is -1, then there is no cycle in the linked list.
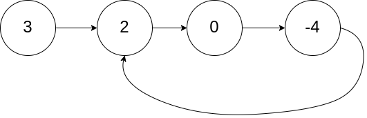
Example 1:
Input: head = [3,2,0,-4], pos = 1
Output: true
Explanation: There is a cycle in the linked list, where tail connects to the second node.

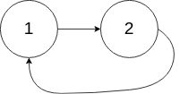
Example 2:
Input: head = [1,2], pos = 0
Output: true
Explanation: There is a cycle in the linked list, where tail connects to the first node.

Example 3:
Input: head = [1], pos = -1
Output: false
Explanation: There is no cycle in the linked list.
![]()
Follow up:
Can you solve it using O(1) (i.e. constant) memory?
这道题是快慢指针的经典应用。只需要设两个指针,一个每次走一步的慢指针和一个每次走两步的快指针,如果链表里有环的话,两个指针最终肯定会相遇。实在是太巧妙了,要是我肯定想不出来。代码如下:
C++ 解法:
class Solution {
public:
bool hasCycle(ListNode *head) {
ListNode *slow = head, *fast = head;
while (fast && fast->next) {
slow = slow->next;
fast = fast->next->next;
if (slow == fast) return true;
}
return false;
}
};
Java 解法:
public class Solution {
public boolean hasCycle(ListNode head) {
ListNode slow = head, fast = head;
while (fast != null && fast.next != null) {
slow = slow.next;
fast = fast.next.next;
if (slow == fast) return true;
}
return false;
}
}
Github 同步地址:
https://github.com/grandyang/leetcode/issues/141
类似题目:
参考资料:
https://leetcode.com/problems/linked-list-cycle/
https://leetcode.com/problems/linked-list-cycle/discuss/44489/O(1)-Space-Solution
到此这篇关于C++实现LeetCode(141.单链表中的环)的文章就介绍到这了,更多相关C++实现单链表中的环内容请搜索自学编程网以前的文章或继续浏览下面的相关文章希望大家以后多多支持自学编程网!

- 本文固定链接: https://www.zxbcw.cn/post/217929/
- 转载请注明:必须在正文中标注并保留原文链接
- QQ群: PHP高手阵营官方总群(344148542)
- QQ群: Yii2.0开发(304864863)