一、神经网络介绍:
神经网络算法参考人的神经元原理(轴突、树突、神经核),在很多神经元基础上构建神经网络模型,每个神经元可看作一个个学习单元。这些神经元采纳一定的特征作为输入,根据自身的模型得到输出。

图1 神经网络构造的例子(符号说明:上标[l]表示与第l层;上标(i)表示第i个例子;下标i表示矢量第i项)

图2 单层神经网络示例
神经元模型是先计算一个线性函数(z=Wx+b),接着再计算一个激活函数。一般来说,神经元模型的输出值是a=g(Wx+b),其中g是激活函数(sigmoid,tanh, ReLU, …)。
二、数据集
假设有一个很大的数据库,里面记录了很多天气数据,例如,气温、湿度、气压和降雨率。
问题陈述:
一组训练数据m_train,下雨标记为(1),不下雨标记为(0)。
一个测试数据组m_test,标记是否下雨。
每一个天气数据包含x1=气温,x2=湿度,x3=气压。
机器学习中一个常见的预处理步骤是将数据集居中并标准化,这意味着从每个示例中减去整个numpy数组的平均值,然后将每个示例除以整个numpy数组的标准偏差。

通用方法(建立部分算法)
使用深度学习来建造模型
1. 定义模型构造(例如,数据的输入特征)
2. 初始化参数并定义超参数(迭代次数、在神经网络中的L层的层数、隐藏层大小、学习率α)
3. 迭代循环(正向传播(计算电流损耗)、计算成本函数、反向传播(计算电流损耗)、升级参数(使用背景参数和梯度))
4. 使用训练参数来预测标签(初始化)
更深层次的L-层神经网络的初始化更为复杂,因为有更多的权重矩阵和偏置向量。下表展示了不同结构的各种层级。

表1 L层的权重矩阵w、偏置向量b和激活函数z

表2 示例架构中的神经网络权重矩阵w、偏置向量b和激活函数z
表2帮助我们为图1中的示例神经网络架构的矩阵准备了正确的维度。
import numpy as np
import matplotlib.pyplot as plt
nn_architecture = [
{"layer_size": 4,"activation": "none"}, # input layer
{"layer_size": 5,"activation": "relu"},
{"layer_size": 4,"activation": "relu"},
{"layer_size": 3,"activation": "relu"},
{"layer_size": 1,"activation": "sigmoid"}
]
def initialize_parameters(nn_architecture, seed = 3):
np.random.seed(seed)
# python dictionary containingour parameters "W1", "b1", ..., "WL","bL"
parameters = {}
number_of_layers = len(nn_architecture)
for l in range(1,number_of_layers):
parameters['W' + str(l)] =np.random.randn(
nn_architecture[l]["layer_size"],
nn_architecture[l-1]["layer_size"]
) * 0.01
parameters['b' + str(l)] =np.zeros((nn_architecture[l]["layer_size"], 1))
return parameters
代码段1 参数初始化
使用小随机数初始化参数是一种简单的方法,但同时也保证算法的起始值足够好。
记住:
- 不同的初始化工具,例如Zero,Random, He or Xavier,都会导致不同的结果。
- 随机初始化能够确保不同的隐藏单元可以学习不同的东西(初始化所有权重为零会导致,所有层次的所有感知机都将学习相同的东西)。
- 不要初始化为太大的值
三、激活函数
激活函数的作用是为了增加神经网络的非线性。下例将使用sigmoid and ReLU。
Sigmoid输出一个介于0和1之间的值,这使得它成为二进制分类的一个很好的选择。如果输出小于0.5,可以将其分类为0;如果输出大于0.5,可以将其分类为1。
def sigmoid(Z):
S = 1 / (1 + np.exp(-Z))
return S
def relu(Z):
R = np.maximum(0, Z)
return R
def sigmoid_backward(dA, Z):
S = sigmoid(Z)
dS = S * (1 - S)
return dA * dS
def relu_backward(dA, Z):
dZ = np.array(dA, copy=True)
dZ[Z <= 0] = 0
return dZ
代码段2 Sigmoid和ReLU激活函数,及其衍生物
在代码段2中,可以看到激活函数及其派生的矢量化编程实现。该代码将用于进一步的计算。
四、正向传播
在正向传播中,在层l的正向函数中,需要知道该层中的激活函数是哪一种(sigmoid、tanh、ReLU等)。前一层的输出值为这一层的输入值,先计算z,再用选定的激活函数计算。

图3 神经网络的正向传播
线性正向模块(对所有示例进行矢量化)计算以下方程式:

方程式1 线性正向函数
def L_model_forward(X, parameters, nn_architecture):
forward_cache = {}
A = X
number_of_layers = len(nn_architecture)
for l in range(1, number_of_layers):
A_prev = A
W = parameters['W' + str(l)]
b = parameters['b' + str(l)]
activation = nn_architecture[l]["activation"]
Z, A = linear_activation_forward(A_prev, W, b, activation)
forward_cache['Z' + str(l)] = Z
forward_cache['A' + str(l)] = A
AL = A
return AL, forward_cache
def linear_activation_forward(A_prev, W, b, activation):
if activation == "sigmoid":
Z = linear_forward(A_prev, W, b)
A = sigmoid(Z)
elif activation == "relu":
Z = linear_forward(A_prev, W, b)
A = relu(Z)
return Z, A
def linear_forward(A, W, b):
Z = np.dot(W, A) + b
return Z
代码段3 正向传播模型
使用“cache”(python字典包含为特定层所计算的a和z值)以在正向传播至相应的反向传播期间传递变量。它包含用于反向传播计算导数的有用值。
五、损失函数
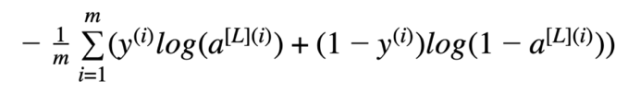
为了管程学习过程,需要计算代价函数的值。下面的公式用于计算成本。

方程式2 交叉熵成本
def compute_cost(AL, Y):
m = Y.shape[1]
# Compute loss from AL and y
logprobs = np.multiply(np.log(AL), Y) + np.multiply(1 - Y, np.log(1 - AL))
# cross-entropy cost
cost = - np.sum(logprobs) / m
cost = np.squeeze(cost)
return cost
代码段4 代价函数的计算
六、反向传播
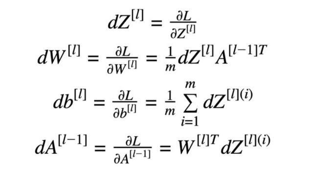
反向传播用于计算参数的损失函数梯度。该算法是由微分学中已知的“链规则”递归使用的。
反向传播计算中使用的公式:

方程式3 反向传播计算公式
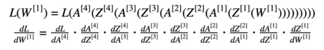
链式法则是计算复合函数导数的公式。复合函数就是函数套函数。

方程式4 链规则示例
“链规则”在计算损失时十分重要(以方程式5为例)。

方程式5 损失函数(含替换数据)及其相对于第一权重的导数
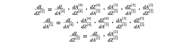
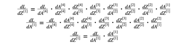
神经网络模型反向传播的第一步是计算最后一层损失函数相对于z的导数。方程式6由两部分组成:方程式2损失函数的导数(关于激活函数)和激活函数“sigmoid”关于最后一层Z的导数。

方程式6 从4层对z的损失函数导数
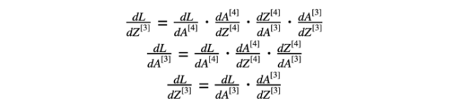
方程式6的结果可用于计算方程式3的导数。

方程式7 损失函数相对于3层的导数
在进一步计算中,使用了与第三层激活函数有关的损失函数的导数(方程式7)。

方程式8 第三层的导数
方程式7的结果和第三层活化函数“relu”的导数用于计算方程式8的导数(损失函数相对于z的导数)。然后,我们对方程式3进行了计算。
我们对方程9和10做了类似的计算。

方程式9 第二层的导数

方程式10 第一层的导数
七、总体思路
从第一层层对z的损失函数导数有助于计算(L-1)层(上一层)对损失函数的导数。结果将用于计算激活函数的导数。

图4 神经网络的反向传播
def L_model_backward(AL, Y, parameters, forward_cache, nn_architecture):
grads = {}
number_of_layers =len(nn_architecture)
m = AL.shape[1]
Y = Y.reshape(AL.shape) # afterthis line, Y is the same shape as AL
# Initializing thebackpropagation
dAL = - (np.divide(Y, AL) -np.divide(1 - Y, 1 - AL))
dA_prev = dAL
for l in reversed(range(1,number_of_layers)):
dA_curr = dA_prev
activation =nn_architecture[l]["activation"]
W_curr = parameters['W' +str(l)]
Z_curr = forward_cache['Z' +str(l)]
A_prev = forward_cache['A' +str(l-1)]
dA_prev, dW_curr, db_curr =linear_activation_backward(dA_curr, Z_curr, A_prev, W_curr, activation)
grads["dW" +str(l)] = dW_curr
grads["db" +str(l)] = db_curr
return grads
def linear_activation_backward(dA, Z, A_prev, W, activation):
if activation =="relu":
dZ = relu_backward(dA, Z)
dA_prev, dW, db =linear_backward(dZ, A_prev, W)
elif activation =="sigmoid":
dZ = sigmoid_backward(dA, Z)
dA_prev, dW, db =linear_backward(dZ, A_prev, W)
return dA_prev, dW, db
def linear_backward(dZ, A_prev, W):
m = A_prev.shape[1]
dW = np.dot(dZ, A_prev.T) / m
db = np.sum(dZ, axis=1,keepdims=True) / m
dA_prev = np.dot(W.T, dZ)
return dA_prev, dW, db
代码段5 反向传播模块
更新参数
该函数的目标是通过梯度优化来更新模型的参数。
def update_parameters(parameters, grads, learning_rate):
L = len(parameters)
for l in range(1, L):
parameters["W" +str(l)] = parameters["W" + str(l)] - learning_rate *grads["dW" + str(l)]
parameters["b" +str(l)] = parameters["b" + str(l)] - learning_rate *grads["db" + str(l)]
return parameters
全模型
神经网络模型的完整实现包括在片段中提供的方法。
def L_layer_model(X, Y, nn_architecture, learning_rate = 0.0075,num_iterations = 3000, print_cost=False):
np.random.seed(1)
# keep track of cost
costs = []
# Parameters initialization.
parameters =initialize_parameters(nn_architecture)
# Loop (gradient descent)
for i in range(0,num_iterations):
# Forward propagation:[LINEAR -> RELU]*(L-1) -> LINEAR -> SIGMOID.
AL, forward_cache =L_model_forward(X, parameters, nn_architecture)
# Compute cost.
cost = compute_cost(AL, Y)
# Backward propagation.
grads = L_model_backward(AL,Y, parameters, forward_cache, nn_architecture)
# Update parameters.
parameters =update_parameters(parameters, grads, learning_rate)
# Print the cost every 100training example
if print_cost and i % 100 ==0:
print("Cost afteriteration %i: %f" %(i, cost))
costs.append(cost)
# plot the cost
plt.plot(np.squeeze(costs))
plt.ylabel('cost')
plt.xlabel('iterations (pertens)')
plt.title("Learning rate=" + str(learning_rate))
plt.show()
return parameters
代码段7 整个神经网络模型
只需要将已知的权重和系列测试数据,应用于正向传播模型,就能预测结果。
可以修改snippet1中的nn_架构,以构建具有不同层数和隐藏层大小的神经网络。此外,准备正确实现激活函数及其派生函数(代码段2)。所实现的函数可用于修改代码段3中的线性正向激活方法和代码段5中的线性反向激活方法。
进一步改进
如果训练数据集不够大,则可能面临“过度拟合”问题。这意味着所学的网络不会概括为它从未见过的新例子。可以使用正则化方法,如L2规范化(它包括适当地修改成本函数)或退出(它在每次迭代中随机关闭一些感知机)。
我们使用梯度下降来更新参数和最小化成本。你可以学习更多高级优化方法,这些方法可以加快学习速度,甚至可以为成本函数提供更好的最终价值,例如:
- 小批量梯度下降
- 动力
- Adam优化器


参考:http://www.uml.org.cn/ai/201911251.asp
到此这篇关于Python建立任意层数的深度神经网络的文章就介绍到这了,更多相关Python神经网络内容请搜索自学编程网以前的文章或继续浏览下面的相关文章希望大家以后多多支持自学编程网!

- 本文固定链接: https://www.zxbcw.cn/post/219303/
- 转载请注明:必须在正文中标注并保留原文链接
- QQ群: PHP高手阵营官方总群(344148542)
- QQ群: Yii2.0开发(304864863)