给你两个单链表的头节点 headA 和 headB ,请你找出并返回两个单链表相交的起始节点。如果两个链表没有交点,返回 null 。

思路
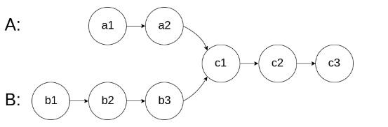
简单来说,就是求两个链表交点节点的 指针。 这里同学们要注意,交点不是数值相等,而是指针相等。
为了方便举例,假设节点元素数值相等,则节点指针相等。
看如下两个链表,目前curA指向链表A的头结点,curB指向链表B的头结点:

我们求出两个链表的长度,并求出两个链表长度的差值,然后让curA移动到,和curB 末尾对齐的位置,如图:

此时我们就可以比较curA和curB是否相同,如果不相同,同时向后移动curA和curB,如果遇到curA == curB,则找到焦点。
否则循环退出返回空指针。
/**
* Definition for singly-linked list.
* struct ListNode {
* int val;
* ListNode *next;
* ListNode(int x) : val(x), next(NULL) {}
* };
*/
class Solution {
public:
ListNode *getIntersectionNode(ListNode *headA, ListNode *headB) {
ListNode* curA=headA;
ListNode* curB=headB;
int lenA=0;
int lenB=0;
while(curA!=nullptr){ // 求链表A的长度
lenA++;
curA=curA->next;
}
while(curB!=nullptr){ // 求链表B的长度
lenB++;
curB=curB->next;
}
//现在的curA,curB已经指向最后一个节点了,需要重新指向头结点
curA=headA;
curB=headB;
if(lenA<lenB){ //假设链表A的长度大于链表B,否则交换
swap(lenA,lenB);
swap(curA,curB);
}
//gap是两个链表长度的差值
int gap=lenA-lenB; // gap=lenA-lenB 错误,要有返回类型
while(gap){ // 让curA和curB在同一起点上(末尾位置对齐)
gap--;
curA=curA->next;
}
while(lenB){ // 遍历curA 和 curB,遇到相同则直接返回
if(curA==curB)
return curA; // return curA(val) 返回节点中的值,这个写法是错误的 直接return curA
curA=curA->next;
curB=curB->next;
lenB--;
}
return nullptr; //没有交点则返回空
}
};
给你单链表的头节点 head ,请你反转链表,并返回反转后的链表。
示例 1:
输入:head = [1,2,3,4,5]
输出:[5,4,3,2,1]
示例 2:
输入:head = [1,2]
输出:[2,1]
示例 3:
输入:head = []
输出:[]
双指针思路
首先判断链表是否为空,为空则返回nullptr。
接下来定义一个cur指针,指向头结点,再定义一个pre指针,初始化为null。
然后就要开始反转了,首先要把 cur->next 节点用tmp指针保存一下,也就是保存一下这个节点。
为什么要保存一下这个节点呢,因为接下来要改变 cur->next 的指向了,将cur->next 指向pre ,此时已经反转了第一个节点了。
接下来,就是循环走如下代码逻辑了,继续移动pre和cur指针。
最后,cur 指针已经指向了null,循环结束,链表也反转完毕了。 此时我们return pre指针就可以了,pre指针就指向了新的头结点。
/**
* Definition for singly-linked list.
* struct ListNode {
* int val;
* ListNode *next;
* ListNode() : val(0), next(nullptr) {}
* ListNode(int x) : val(x), next(nullptr) {}
* ListNode(int x, ListNode *next) : val(x), next(next) {}
* };
*/
class Solution {
public:
ListNode* reverseList(ListNode* head) {
if(head==nullptr) //对空链表的判断
return nullptr;
ListNode* per=nullptr;
ListNode* cur=head;
ListNode* temp; //建立一个指针
while(cur){ //没必要写 while(cur!=nullptr),写了这个还要判断cur,会浪费时间,直接cur就可以
temp=cur->next; //保存cur的下一个节点
cur->next=per; //cur的下一个节点指向per,实现反转
per=cur; //cur=per;错误,是把cur的节点赋值给per
cur=temp; //temp=cur;错误,是把temp(原来的cur->next)的节点赋值给cur
}
return per;
}
};
递归
/**
* Definition for singly-linked list.
* struct ListNode {
* int val;
* ListNode *next;
* ListNode() : val(0), next(nullptr) {}
* ListNode(int x) : val(x), next(nullptr) {}
* ListNode(int x, ListNode *next) : val(x), next(next) {}
* };
*/
class Solution {
public:
ListNode* reverse(ListNode* per,ListNode* cur){ //返回的是一个链表,其返回值是指针
if(cur==nullptr) //递归的终止条件
return per;
ListNode* temp=cur->next;
cur->next=per;
return reverse(cur,temp); // 调用要写return
}
ListNode* reverseList(ListNode* head) {
if(head==nullptr) //链表判空
return nullptr;
return reverse(NULL,head); // 调用要写return
}
};
总结
本篇文章就到这里了,希望能给你带来帮助,也希望您能够多多关注自学编程网的更多内容!

- 本文固定链接: https://www.zxbcw.cn/post/220102/
- 转载请注明:必须在正文中标注并保留原文链接
- QQ群: PHP高手阵营官方总群(344148542)
- QQ群: Yii2.0开发(304864863)